<!--
继Zigbee、Thread、WiFi Mesh之后,物联网行业中的组网阵营又冒出了一匹黑马---BLE Mesh。然而在这之前,BLE的组网能力在江湖上是排不上名号的。鉴于IPHONE 4S对BLE的普及起到了火箭级的推动作用,使得BLE几乎是智能穿戴届的一哥。可是随着越来越复杂的IoT应用,相较于之前点对点的数据传输,组网的需求越来越旺盛。因此,基于BLE的广播模式的多对多网状网络将彻底打破人们固有的成见,这也引起了无线通讯半导体芯片各领头养的关注如CSR、Broadcom、NXP、Nordic、Dialog等公司都推出过自己私有的蓝牙Mesh协议 (Telink也因其较早推出BLE Mesh而一战而红)。然而,原本是一件让物联网振奋人兴的事却因为各大厂商之间的MESH很难做到互联互通,为了避免重走当年Zigbee的老路。这个时候有位老大哥就站出来了
这个转折点就出现在2014年,CSR决定将自己的私有蓝牙Mesh协议捐赠给蓝牙技术联盟(Bluetooth SIG),以加速制定统一的蓝牙Mesh物联网协议,尽快结束蓝牙阵营内部的纷争。最终,在2018年7月18日SIG正式推出蓝牙Mesh标准,即SIG MESH。
一个新生事物出来后少不了需要与 “前辈” 们对比的,中国不是有句古话说 “是螺子是马拿出来溜溜”。

从上面的表格可以看出,SIG MESH具备低功耗、低成本以及可以直接与我们的智能手机相互通讯。除了这些之外,SIG MESH还具备这样的优势:
当然啦,任何一门技术都不太可能一统天下,也有他们的局限性的,SIG MESH也是如此。
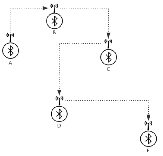
SIG MESH目前采用的是基于flooding (泛洪) 协议的MESH网络技术。在目前发布的v1.0版本的Spec,其仅支持泛洪的方式,但是在未来的修订版本中可能会加入基于路由协议的MESH网络,具体什么时间会发布?我们只需耐心等待即可,因为你急你也改变不了什么:bowtie:。

SIG Mesh网络由Mobile Phone、Node组成,其中Mobile是智能手机,作为Mesh网络的控制端。Node是网络中的节点设备。BLE Mesh网络是采用广播的方式实现的,基本步骤是:

SIG MESH还会对网络中的数据进行特殊的加密,防止通过监听和中间人攻击等手段窃取网络数据。
经常听到有人问 “请教一下你们会搞蓝牙5.0的mesh吗?”,其实这种问法本身就是有误的,因为蓝牙5.0 Specification和 Mesh Specification发布的时间都比较相近,从而导致这样的 “笑话”
